首页
学院概况
学院简介
现任领导
组织机构
规章制度
师资队伍
科系设置
师资力量
人才招聘
本科生教育
专业简介
培养方案
教学计划
课程大纲
课程简介
教学日历
研究生教育
硕士点介绍
学科建设
培养工作
学位工作
招生动态
党建工作
组织结构
理论学习
党建制度
党建动态
支部建设
党务公开
党史学习
学团工作
学团动态
团委学生会
社团协会
创业创新
规章制度
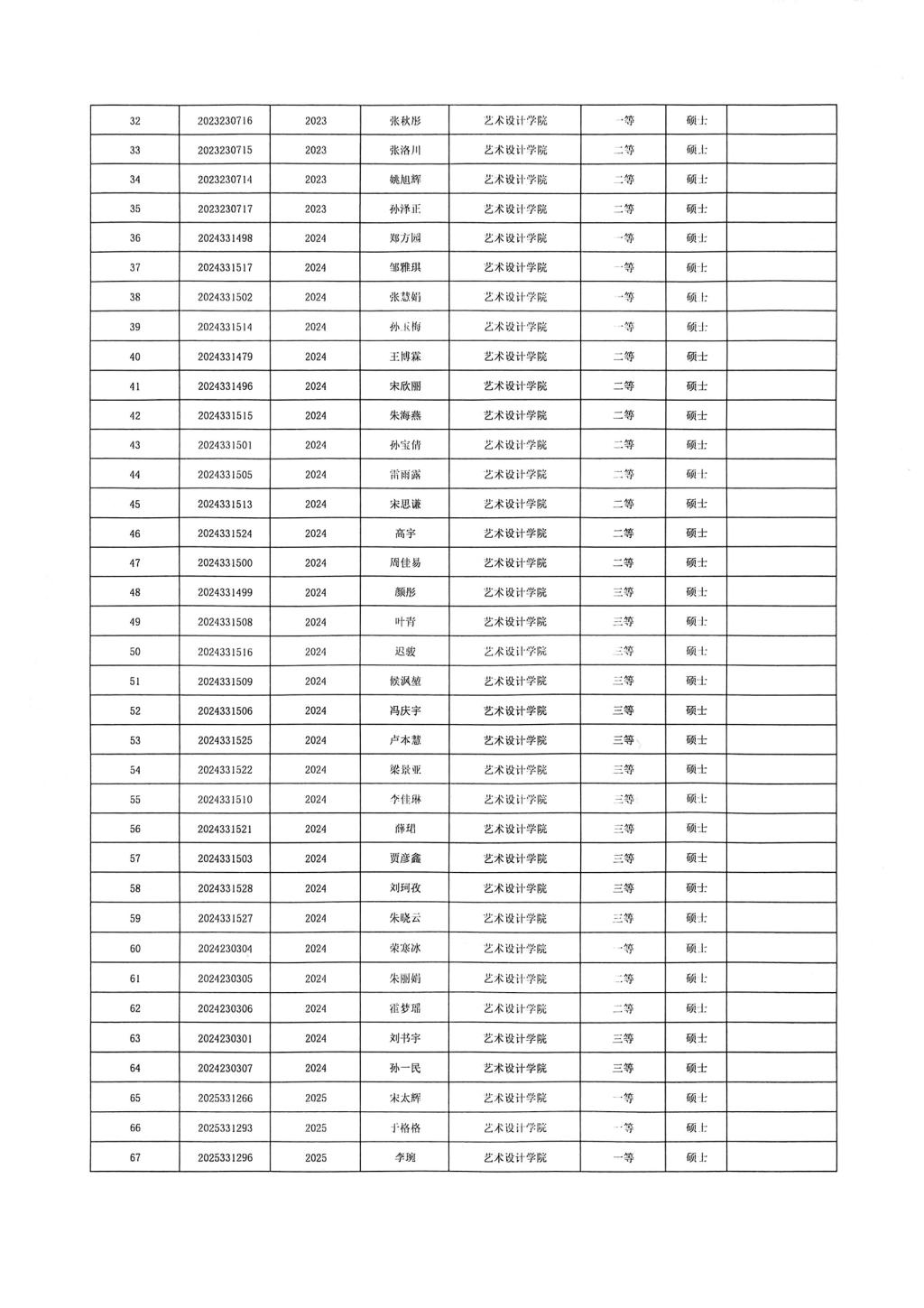
曲阜师范大学2025年研究生学业奖学金艺术设计学院获奖名单公示
信息来源:
发布日期:
2025-10-11
浏览次数:
下一篇:艺术设计学院关于研究生学籍清退的公告